Learn More

What is Delta 8 THC?

What is Delta 8 THC?

5th Aug 2021

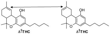
What is Delta 8 THC?While most people are familiar with THC and CBD, there are hundreds of unique terpenes and cannabinoids present in varying amounts across all strains of Cannabis Sativa L - other … read more